서론
몇 되지 않는 온사이트 대회가 열린다고 해 빠르게 신청을 넣었다. 비슷한 성격의 Hello BOJ 대회를 작년에는 실력 이슈로, 올해는 일정 이슈로 가지 못해 그랜드 아레나 파티는 꼭 가려고 아레나를 열심히 쳤다. 원래 레이티드 아레나만 쳤는데, 언레도 집계에 포함된다는 menborong님의 말을 듣고 12월 월향에서 2솔튀를 하기도 했다. (관계자 분들 죄송합니다) 아무튼 결과적으로 레이팅 컷에 꽤 넉넉히 걸려 온사이트 대회에 초청받을 수 있었다. 포스텍에서는 Hyperbolic, menborong, slah007, 그리고 나까지 해서 총 4명이 진출하였다.

대회 전
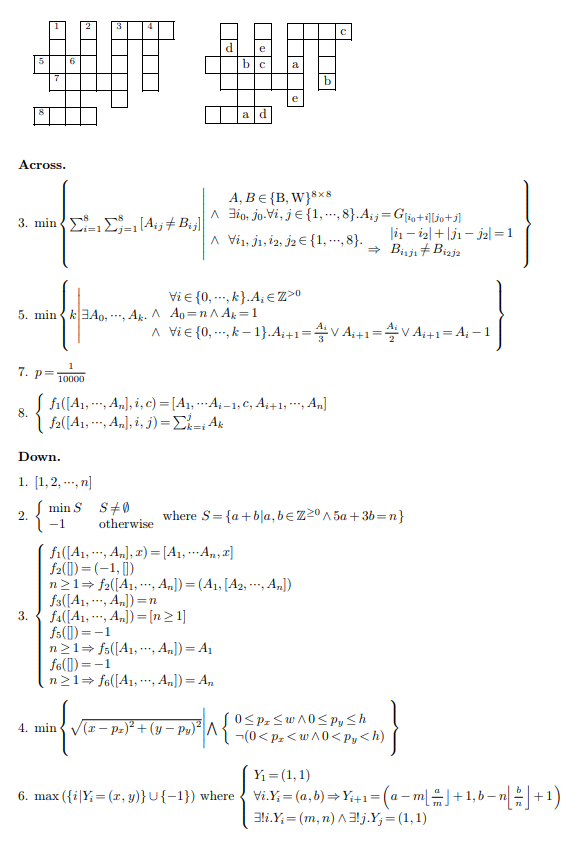
입장 시간 조금 후에 대회장에 도착했다. 다행히 줄을 서는 일 없이 입장할 수 있었다. 밖에서 볼 때는 몰랐는데, 들어가니 공간이 꽤 넓어서 놀랐다. 카운터에는 어디서 많이 뵌 분들, 그리고 utilforever님이 계셨다. 따로 인사를 드리지 못해서 알아보셨을지는 잘 모르겠다. 본 대회 전까지는 퍼즐 헌트라는 것을 했는데, 조원을 찾으러 돌아다녀야 하는 줄 알고 가만히 있다가 심심해서 문제를 좀 읽기 시작했다. 놀랍게도 문제가 좀 풀려 있었고, 스코어보드에서 안 풀린 문제인 십자말풀이가 재미있어 보이길래 보기 시작했다. 우여곡절 끝에 퍼솔은 놓치고 2번째로 해결하였다. 풀이 과정은 길어질 수 있어서 아래에 따로 작성하..려다가 이 글을 쓰는 도중 퍼즐 헌트 이벤트가 공개되는 바람에 작성하지 못하게 되었다. 언젠가 추가할 예정이다. 재미있으니 모두 풀어보시길 바란다.
십자말풀이 퍼즐은 다음과 같이 생겼다.

아무튼 십자말 풀이 퍼즐을 퍼솔보다 4분 늦은 2번째로 해결한 후에야 팀원들이 근처에 있다는 사실을 깨달았다. 하지만 시간 부족으로 퍼즐을 더 해결할 수는 없었던 점이 아쉬웠다.
대회 중
온사이트 대회는 대회에 굶주린 온갖 고인물들이 다 나오기 때문에 수상이 힘들다. 따라서 상 욕심은 크게 없었고 포스텍 4명 중 1등을 하자는 목표를 가지고 대회에 임했다. (사실 이 분들 레이팅이 엄청 높아서 이 정도 하면 상을 탈 줄 알았다)
~0:01
A를 봤는데, 쉬운 것 같아서 뇌에서 시키는 코드를 짜니 예제가 나왔다. 다행히 1번에 맞았다. 4번째 솔브인가 그랬던 것 같다.
~0:41
이후에는 B를 봤다. 하지만 쉬운 문제 같지 않았고, 무엇보다 내가 잘 못하는 그리디 문제였기 때문에 우선 뒤로 넘어갔다. 난이도 순 정렬이라는 보장이 없기도 했다. C는 기하라 일단 넘겼고, D가 뭔가 괜찮아 보이고 퍼솔도 나와서 좀 생각해보기로 했다. 상황이 전체적으로 이 문제와 비슷하다고 생각해서 slope trick 비슷하게 생각해보기로 했다. 그랬더니 해야 하는 것이 명확히 보여서 구현에 들어갔다. 다행히 크게 헤메지 않고 1번에 맞을 수 있었다.
~2:41
그리고 B를 다시 봤는데 여전히 감이 오지 않았다. 사풀이야 여러 가지가 생각났지만 틀리기 싫어서 오래 고민한 결과 1시간 30분 쯤에 그럴듯한 그리디를 생각해낼 수 있었고, 짰지만 틀렸다. 그렇게 사풀을 3번 내며 헤멘 결과 파라메트릭을 얹으면 더 쉬운 그리디로 해결할 수 있다는 것을 깨달았다. 다행히 이번에는 1번에 맞았고, 남은 시간 동안 E와 H를 잠깐 봤지만 20분 안에 코딩하는 것이 불가능한 문제들임을 파악하는 것 밖에는 하지 못했다.
대회 후에는 유저 컨퍼런스가 있었다. 총 3개가 진행되었는데, 파이썬과 마인크래프트는 잘 모르는 관계로 귀에 잘 들어오지 않았다. 대신 cki님의 Yandex Cup 후기는 인상적이었는데, 개인 대회 Final은 너무 먼 얘기라 잘 모르겠고 월파를 꼭 가야겠다는 생각을 다시 할 수 있었다.
이후에는 결과 발표가 있었다. 프리즈 전의 스코어보드를 통해 1) 수상이 불가능함 2) menborong님을 이기는 것이 불가능함의 두 가지를 알고 있었기 때문에, menborong님이 수상하지 못하기를 기대하며 지켜보았다. 다행히도, 16-17등으로 나란히 특별상을 수상할 수 있었다. 말은 이렇게 했지만 한 명은 상을 탔으면 했어서 조금 안타까웠다.

대회 종료 후
대회 종료 후에는 조금이나마 아는 분들과 인사를 나누었다. 이후에는 Hyperbolic, menborong 선배, 그리고 Hyperbolic님의 일본인 친구이자 엄청난 고수이신 physics0523님과 함께 저녁을 먹으러 갔다. 사람을 더 모았으면 했지만 아는 사람의 합집합이 전부였다는 사실이 조금 아쉬웠다. 다음 대회때 함께하실 분은 연락주세요~
여튼 1차로는 치킨, 2차로는 링고를 갔다. 이 시간 동안의 이야기는 Hyperbolic님의 후기에 더 자세히 나와 있다. 나는 일본어를 정말 하나도 모르기 때문에 필요할 때에만 짧은 영어로 의사소통을 시도하였다. 따라서 대화를 많이 나누지는 못 했지만 기억 나는 점 몇 가지만 써 보자면
1) 우선 동갑인 데다가, 이번 Asia Pacific Championship에 오신다고 해서 동질감과 두려움이 함께 느껴졌다.
2) physics0523님은 그 날 진행된 ABC의 Writer셨는데, G번을 보여주시길래 풀이를 대충 찍어서 말했는데 맞다고 해주셔서 기뻤다.
3) 대충 일본인들 너무 잘한다는 얘기를 했던 것 같다.
이 과정에서 역라이벌 최고 아웃풋도 얻을 수 있었다. 감사합니다 GOAT

IGM 이상의 실력자와는 사실 한국인 포함해도 대화를 나눈 적이 잘 없는 것 같은데, 엄청난 실력자이신 일본인 분과 있다는 것이 그냥 좀 신기했던 것 같다. 베트남 갈 때는 일본어 몇 마디라도 배워가서 인사드려야겠다고 생각했다.
아무튼 오랜만의 오프라인 대회라 재미있었다. 사실 ICPC나 UCPC, 모비스, SCPC 같은 대회는 교류보다 경쟁에 더 초점이 맞춰져 있는 감이 있는데, 이런 형태의 대회도 꽤 괜찮은 것 같다. 퍼즐 헌트나 유저 컨퍼런스도 생각보다 퀄리티가 좋아서 놀랐다.
대회를 열어 주신 solved.ac 관계자 여러분, 참가자 여러분, 그리고 절 데려가주신 Hyperbolic님께 감사를 표합니다.
다음 대회도 기대하겠습니다~
'대회 후기 > 기타' 카테고리의 다른 글
| 2024 KAIST 14th ICPC Mock Competition 후기 (4) | 2024.10.31 |
|---|---|
| 2023 FunctionCup 후기 (1) | 2023.06.29 |
| (짧음) 굿바이 BOJ 2022 후기 (2) | 2022.12.31 |